当前位置:

余东教授在复杂系统集体动力学研究领域取得新进展

       

(通讯员 余紫钧)近日,物理与光电工程学院裴启明教授团队在《PHYSICAL REVIEW E发表题为 Interplay between noise and higher-order interactions in the stochastic Kuramoto model: From enhancement to explosive transitions 的研究论文。PHYSICAL REVIEW E》由美国物理学会American Physical Society)于2001年创办,是聚焦多体系统集体现象的跨学科期刊,该刊核心研究方向涵盖统计物理、非线性动力学生物物理、软物质物理及流体与等离子体物理领域,在数学物理领域具有较高学术影响力。余东教授为论文第一作者通讯作者,华中师范大学贾亚教授为共同通讯作者,长江大学为第一署名单位。

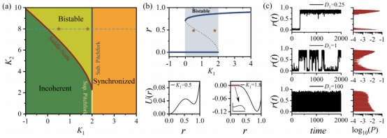
同步现象广泛存在于物理、生物和社会系统中,是复杂系统集体动力学研究中的重要问题。近年来,高阶相互作用被认为是影响复杂网络同步行为的重要机制,但噪声与高阶相互作用的耦合作用规律仍缺乏系统认识。围绕这一问题,研究团队以随机 Kuramoto 模型为基础,深入分析了噪声与高阶相互作用共同作用下的集体动力学行为。

该研究将 Ott-Antonsen 约化方法推广到随机情形,建立了低维随机平均场理论,并进一步构建了精确的有效势景观分析框架。研究发现,作用于成对耦合的噪声并非单纯破坏同步,而是能够在一定条件下促进同步形成并显著拓展双稳区;相比之下,作用于高阶相互作用的噪声则表现出明显不同的动力学效应,其影响受到成对耦合强度的门控调制。进一步地,研究团队从平均首通时间的角度揭示了噪声诱导爆炸同步的形成机制,表明系统宏观态的选择本质上来源于势垒跨越时间尺度与观测时间窗口之间的竞争。

该成果突破了将噪声简单视为无序扰动的传统认识,为理解高阶网络中噪声调控下的同步转变与状态切换提供了新的理论框架,对于神经网络、复杂工程系统等高阶耦合动力学研究具有重要参考价值。

该研究得到了国家自然科学基金、中国博士后科学基金以及广东省数学与神经动力系统重点实验室等项目的资助。

文章链接:https://journals.aps.org/pre/abstract/10.1103/pzkj-ynnt

(审核 水涛,编辑 梁军)

 
物理与光电工程学院        
2026-03-26            
 

 

长江大学物理与光电工程学院 地址:湖北荆州市荆州区学苑路1号长江大学东校区 邮编:434023 办公室电话:0716-8060967