近日,长江大学物理与光电工程学院刘统华教授指导的硕士研究生在国际学术期刊《European Physical Journal C》(欧洲物理杂志C)上发表题为“Model-Independent Reconstruction of Quintessence Potential and Kinetic Energy from DESI DR2 and Pantheon+ Supernovae”的研究论文,该期刊属于施普林格·自然出版集团出版的全球最具影响力的的82本自然指数期刊之一。论文第一作者为我院物理学专业硕士研究生王圣夹,通讯作者为我院刘统华教授,长江大学为第一署名单位。研究团队创新性地采用模型无关的高斯过程回归方法,融合多种天文观测数据,利用四种不同的高斯核函数重构出了暗能量标量场势能和动能随红移演化的曲线。

暗能量是宇宙学中解释宇宙加速膨胀现象的假设性能量形式,具有负压特性并在宇宙中近乎均匀分布,其排斥力作用与引力相反。暗能量常被描述为爱因斯坦提出的“宇宙学常数”或标量场等理论模型,代表空间内禀的真空能。最新的暗能量光谱仪(DESI)第二次数据发布(DR2)的重子声学振荡(BAO)测量数据表明暗能量的状态方程参数呈现出显著偏离宇宙学常数的趋势,暗示其能量密度并非恒定不变,而是可能随宇宙红移发生演化;这种动力学行为不仅能有效缓解当前哈勃张力与结构增长张力的矛盾,也对传统 ΛCDM 模型中静态真空能的假设提出了严峻挑战,表明暗能量或许是一种随宇宙膨胀动态演变的物理组分,而非简单的宇宙学常数。
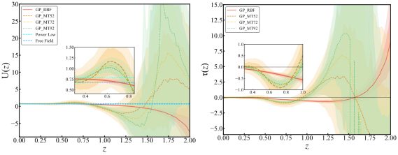
为破解这一难题,研究团队摒弃了传统方法对特定宇宙学模型的依赖, 基于Quintessence模型进行暗能量标量场的势能和动能重构,研究暗能量可能的动态演化 。该方法整合了DESI DR2,以及Pantheon+Ia型超新星样本,通过高斯过程回归技术重构宇宙膨胀历史,在无需预设宇宙学模型的前提下,实现了 对暗能量标量场势能和动能函数的重构 。
这项研究提出了一个独立于模型的框架,用于重建精髓标量场势和动能,利用DESI DR2 BAO和PantheonPlus+SH0ES SN Ia数据。通过采用具有四个协方差核(RBF、Matérn-5/2、Mat́ern 7/2、Mat́ern-9/2)的GP,避免了参数模型偏差,使得能够在没有函数形式假设的情况下从数据中直接提取暗能量动力学。
该研究得到了国家重点研发计划、湖北省楚天学者计划等项目的资助。
论文链接:https://link.springer.com/article/10.1140/epjc/s10052-026-15565-8
(审核 张华峰 编辑 梁军)